Wartość porównawcza wskaźników
Ocenę funduszy można przeprowadzić przy pomocy wielu wskaźników stosowanych w analizie finansowej, szczególnie portfelowej. Pozwalają one określić jakość zarządzania danym funduszem na tle całego rynku lub danej grupy funduszy. Miarą sytuacji rynkowej jest benchmark. Statuty funduszy wskazują niejednokrotnie benchmark, który zamierzają utrzymać w przyszłości. Należy zdawać sobie sprawę, że nie jest to gwarancja osiągnięcia określonej stopy zwrotu. Benchmark może być pobity lub nie. To pozwala na porównanie funduszy stosujących taką samą politykę inwestycyjną. Dla potencjalnych inwestorów wskaźniki stanowią cenne narzędzie wspomagające ich decyzje inwestycyjne.Information Ratio
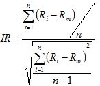
Wskaźnik Information Ratio (IR) jest jednym z najpopularniejszych wskaźników wykorzystywanych dla porównania poziomu ryzyka różnych funduszy inwestycyjnych. Wyraża ona relację oczekiwanej dodatkowej stopy zwrotu do ryzyka, mierzonego odchyleniem standardowym dodatkowych stóp zwrotu, które to miary są związane z ocenianym funduszem. Dodatkowa stopa zwrotu stanowi nadwyżkę stopy zwrotu funduszu ponad stopę zwrotu benchmarku, który obejmuje określoną grupę funduszy stosującą taką samą politykę inwestycyjną. Oczekiwaną stopę zwrotu stanowi średnia arytmetyczna historycznych dodatkowych stóp zwrotu.
gdzie:
Ri – stopa zwrotu z funduszu w okresie „i”
Rm – stopa zwrotu z benchmarku
n – ilość okresów branych do obliczeń
Wartości IR niższe od 0,50 należy uważać za niekorzystne. Dopiero po przekroczeniu 0,50 można mówić o wyniku dobrym. Szczególnie korzystne są wartości wskaźnika powyżej 0,75.
Tracking Error
Wskaźnik Tracking Error (TR) służy do oceny efektów zarządzania w porównaniu z benchmarkiem. Im mniejsza jest wartość wskaźnika TR wyniki inwestycyjne osiągane przez dany fundusz są bardziej zbliżone do wyników benchmarku – różnice są niewielkie. Przy konstrukcji tego wskaźnika uwzględnia się odchylenie standardowe dodatkowych stóp zwrotu, stanowiących różnicę pomiędzy stopą zwrotu funduszu i stopą zwrotu benchmarku. Benchmark może dotyczyć grupy funduszy inwestycyjnych stosujących taką samą lub zbliżoną politykę inwestycyjną. Dla inwestora wskaźnik ten stanowi źródło informacji o jakości zarządzania danym funduszem – umiejętności zarządzającego.Beta
Beta jest wskaźnikiem obrazującym wrażliwość zmiany ceny danego instrumentu finansowego w porównaniu ze zmianą przyjętego benchmarku. W przypadku funduszy inwestycyjnych mówimy o zmianie wartości jednostki uczestnictwa lub certyfikatu inwestycyjnego. Wskaźnik beta może przyjmować wartości dodatnie, jak również ujemne. Wartości dodatnie wskaźnika beta świadczą o tym, że wartość tytułu uczestnictwa w funduszu inwestycyjnym zmienia się zgodnie z kierunkiem zmian benchmarku.Jeżeli wskaźnik beta jest równy jedności wówczas cena instrumentu finansowego zmienia się dokładnie tak samo jak benchmark. Wartości z przedziału (0;1) mówią, że zmiany ceny instrumentu są wolniejsze niż benchmarku. Na przykład dla beta=0,5 wzrost benchmarku o 8% skutkuje wzrostem ceny instrumentu o 4%. Jeżeli beta jest wyższy od jedności wówczas cena instrumentu zmienia się dynamiczniej niż benchmark. Im wyższą wartość przyjmuje wskaźnik beta, tym bardziej ryzykowna jest rozpatrywana inwestycja. Na przykład dla beta równego 1,2 przy spadku benchmarku o 10% wystąpi spadek wartości tytułu uczestnictwa o 12%. Beta równe zero świadczy o braku wrażliwości danego funduszu na sytuację rynkową. Jeżeli beta jest ujemny wówczas relacje zmian są odwrotne niż dla beta większego od zera.
Wskaźnik Sharpe'a
Jest to popularna miara oceny ryzyka inwestycji w fundusz. Stanowi on relację przeciętnej dodatkowej stopy zwrotu do odchylenia standardowego dodatkowej stopy zwrotu będące pochodną ryzyka całkowitego. Dodatkowa stopa zwrotu jest to nadwyżka zysku jaką daje dany fundusz ponad stopę wolną od ryzyka. Wskaźnik ten pozwala wybrać fundusz o najwyższej stopie zwrotu przy minimalnym ryzyku – dodatnia wartość wskaźnika. Jeżeli wskaźnik jest ujemny wówczas świadczy to, że zysk z funduszu jest niższy niż rynkowa stopa wolna od ryzyka. Zazwyczaj przyjmuje się, że jest to rentowność bonów skarbowych.Różnica pomiędzy tym wskaźnikiem, a wskaźnikiem IR polega na tym, że w pierwszy odnosi się do stopy zwrotu z benchmarku, a drugi do rentowności instrumentów pozbawionych ryzyka.
Wskaźnik Treynora
Wskaźnik Treynora uwzględnia dwa rodzaje ryzyka: wynikającego z ogólnej sytuacji na całym rynku określane mianem systematycznego oraz ryzyka specyficznego charakterystycznego dla aktywów znajdujących się w danym portfelu. Przy odpowiedniej dywersyfikacji aktywów portfela redukując ryzyko niesystematyczne można obniżyć ryzyko całkowite do poziomu ryzyka systematycznego (rynkowego).W przypadku funduszy ryzyko systematyczne dotyczy całego rynku funduszy. Wskaźnik Treynor’a pokazuje efektywność inwestycji w dany fundusz z uwzględnieniem ogólnego ryzyka rynku funduszy oraz tego funduszu.
W konstrukcji tego wskaźnika wykorzystuje się wskaźnik beta, będący miarą ryzyka systematycznego – związanego bezpośrednio z sytuacją na całym rynku funduszy inwestycyjnych. Odzwierciedla on wrażliwość zmiany wartości instrumentu na zmiany benchmarku.
Wskaźnik Jensena
Wskaźnik Jensena stanowi modyfikację wskaźnika Treynora. Jako wartość dodaną przyjmuje się odchylenie wartości portfela funduszu od stanu równowagi.Wykorzystuje się przy tym model rynku kapitałowego (Capital Asset Pricing Model, „CAPM”). Wskaźnik Jensena pozwala na określenie dodatkowej stopy zwrotu, jaką można osiągnąć przy określonym poziomie ryzyka. Do obliczenia dodatkowej stopy zwrotu z inwestycji w dany fundusz wykorzystuje się wskaźnik beta, mający odniesienie do rynkowej stopy zwrotu wszystkich funduszy . Dla funduszy akcji, do obliczania rynkowej stopy zwrotu wykorzystuje się zmiany wartości indeksu giełdowego. Można również tworzyć inne modele odniesienia przy kalkulacji wskaźnika beta, które są adekwatne do polityki inwestycyjnej danej grupy funduszy. Im wyższa wartość wskaźnika Jensena, tym fundusz jest bardziej atrakcyjny, gdyż pozwala osiągnąć wyższą stopę zwrotu.
Odchylenie standardowe
Odchylenie standardowe jest również wykorzystywane w określaniu ryzyka inwestycji na rynku funduszy inwestycyjnych. Jak podstawowa miara ryzyka dostarcza cennych informacji, niezbędnych dla wyboru funduszu, szczególnie przez osoby, które nie akceptują wysokiego ryzyka. Fundusze charakteryzujące się wysokim odchyleniem standardowym są obarczone dużym ryzykiem inwestycyjnym. Jeżeli inwestor akceptuje zmianę wartości jednostki uczestnictwa w zakresie jednego odchylenia standardowego od wartości średniej, wówczas prawdopodobieństwo, że założona stopa zwrotu będzie osiągnięta wynosi 64%. Dla podwójnego odchylenia standardowego prawdopodobieństwo takie wynosi 95% a dla potrójnego 99%. Obliczanie odchylenia standardowego odbywa się na podstawie danych historycznych zmian wartości tytułów uczestnictwa funduszu. Wartości odchylenia standardowego pozwalają na porównanie ryzyka inwestycji w poszczególne fundusze.Dla obliczeń tego wskaźnika bierze się po uwagę wartości tytułu uczestnictwa danego funduszu oraz odpowiedniego benchmarku. Analizę rynku funduszy inwestycyjnych prowadzi w Polsce spółka Analizy-Online. Wykorzystuje w tym celu indeksy IRFU oraz SAFU.
Benchmarki
SAFUBenchmarki SAFU są skonstruowany w oparciu o średnią arytmetyczną stopę zwrotu funduszy charakteryzujących się taką samą polityką inwestycyjną.
Nazwa benchmarków składa się z dwóch członów: skrót SAFU oraz oznaczenia nazwy grupy funduszy, których dotyczy.
SAFU-AKP_MS akcji polskich małych i średnich spółek
SAFU-NIE_UN nieruchomości uniwersalne
SAFU-AKP_UN akcji polskich uniwersalne
SAFU-OKP_UN ochrony kapitału polskie uniwersalne
SAFU-AKP_XX akcji polskich pozostałe
SAFU-OKZ_UN ochrony kapitału zagraniczne uniwersalne
SAFU-AKPW_MS akcji polskich małych i średnich spółek (waluta)
SAFU-PDE_UN dłużne euro uniwersalne
SAFU-AKZ_EM akcji zagranicznych globalne rynki wschodzące
SAFU-PDEW_UN dłużne euro uniwersalne (waluta)
SAFU-AKZ_EU akcji zagranicznych europa rynki rozwinięte
SAFU-PDP_UN dłużne złotowe uniwersalne
SAFU-AKZ_GL akcji zagranicznych globalne rynki rozwinięte
SAFU-PDP_XX dłużne złotowe pozostałe
SAFU-AKZ_NE akcji zagranicznych Europa rynki wschodzące
SAFU-PDU_UN dłużne dolarowe uniwersalne
SAFU-AKZ_US akcji zagranicznych amerykańskie
SAFU-PDUW_UN dłużne dolarowe uniwersalne (waluta)
SAFU-AKZ_XX akcji zagranicznych pozostałe
SAFU-PDX_XX dłużne zagraniczne pozostałe
SAFU-AKZW_EM akcji zagranicznych globalne rynki wschodzące (waluta)
SAFU-PDXW_XX dłużne zagraniczne pozostałe (waluta)
SAFU-AKZW_EU akcji zagranicznych Europa rynki rozwinięte (waluta)
SAFU-RPP_UN gotówkowe i pieniężne uniwersalne
SAFU-AKZW_GL akcji zagranicznych globalne rynki rozwinięte (waluta)
SAFU-SEK_UN sekurytyzacyjne uniwersalne
SAFU-AKZW_NE akcji zagranicznych Europa rynki wschodzące (waluta)
SAFU-SWP_UN stabilnego wzrostu polskie uniwersalne
SAFU-AKZW_US akcji zagranicznych amerykańskie (waluta)
SAFU-SWP_XX stabilnego wzrostu polskie pozostałe
SAFU-AKZW_XX akcji zagranicznych pozostałe (waluta)
SAFU-SWZ_XX stabilnego wzrostu zagraniczne pozostałe
SAFU-MIP_UN mieszane polskie uniwersalne
SAFU-SWZW_XX stabilnego wzrostu zagraniczne pozostałe (waluta)
SAFU-MIP_XX mieszane polskie pozostałe
SAFU-MIPW_UN mieszane polskie uniwersalne (waluta)
SAFU-MIPW_XX mieszane polskie pozostałe (waluta)
SAFU-MIZ_NE mieszane zagraniczne Europa rynki wschodzące
SAFU-MIZ_XX mieszane zagraniczne pozostałe
SAFU-MIZW_XX mieszane zagraniczne pozostałe (waluta)
Źródło: Analizy Online
IRFU
Benchmark IRFU-akp jest skonstruowany w oparciu o indeks rynku akcji WIG oraz subindeks opisujący zachowanie się płynnej część portfela IBS-52. Jego konstrukcja oparta jest na średniej ważonej strukturą stopie zwrotu subindeksów, których udziały wynoszą: 75% indeks WIG, 25% IRP WIBID 1M.
Benchmark IRFU-mip jest skonstruowany w oparciu o indeks rynku akcji WIG oraz indeks opisujący sytuację na rynku polskich obligacji skarbowych IROS. Jego konstrukcja oparta jest na średniej ważonej strukturą stopie zwrotu indeksów, których udziały wynoszą po 50%.
Benchmark IRFU-pdp jest skonstruowany w oparciu o indeks opisujący zachowanie się rynku polskich obligacji skarbowych IROS, którego udział wynosi 100%.
Benchmark IRFU-rpp jest skonstruowany w oparciu o indeks opisujący sytuację na pieniężnym IRP_WIBID_1M, którego udział wynosi 100%.
Jan Mazurek



























































