Średnia średniej nie równa
O ile odczytywanie formacji jest sprawą subiektywna każdego analityka bądź inwestora , to w przypadku średnich kroczących ocena ich przebiegu nie jest już tak trudna i niejednoznaczna. Średnia krocząca jest krzywą, której poszczególne punkty stanowią średnią liczoną z określonej liczby sesji. Z każdym dniem zakres liczonej średniej jest przesuwany o jeden krok, zgodnie z kierunkiem upływu czasu. Ilość dni, które są objęte kalkulacją może być dowolnie ustalana przez analizującego.Zazwyczaj do obliczeń przyjmuje się ceny zamknięcia z kolejnych dni sesyjnych. Jednak średnie mogą byś obliczane dla cen zamknięcia z innych interwałów czasowych, np. godziny, tygodnie. Średnia krocząca jest narzędziem, które pozwala na śledzenie istniejącego trendu a także wykrycie sygnałów jego zmiany. Zawsze podąża ona za trendem - a nie wyprzedza go.
Jest ona narzędziem pozwalającym na wyrównanie wahań głównego kierunku ruchu cen, stąd jest mniej pofalowana niż wykres cen. Im dłuższy okres zostanie przyjęty, tym linia średniej jest bardziej wygładzona. Z kolei wraz ze skracaniem okresu średnia staje się bardziej wrażliwa na zmiany cen. W zależności od sposobu obliczania, średnie kroczące dzielimy na:
- proste średnie kroczące,
- liniowo ważone średnie kroczące,
- średnie kroczące wyrównywane wykładniczo.
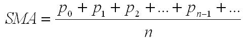
Prosta średnia krocząca jest obliczana, jako średnia arytmetyczna określonej ilości notowań.
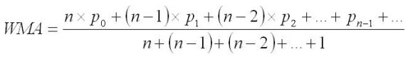
Jej wadą jest, że każdej cenie nadaje się taką samą wagę. Wyniki odległe historyczne mają taki sam wpływ, jak późniejsze. Stąd użyteczność tej średniej, szczególnie na rynku dynamicznym jest niska. Liniowo ważona średnia krocząca jest obliczana, jako średnia arytmetyczna określonej ilości notowań , przy czym każdemu notowaniu jest nadawana inna waga. Kolejne wagi wzrastają w miarę zbliżania się do dnia, na który jest obliczana średnia. W efekcie największy wpływ na wynik mają najświeższe wyniki notowań, a najmniejszy – najstarsze.
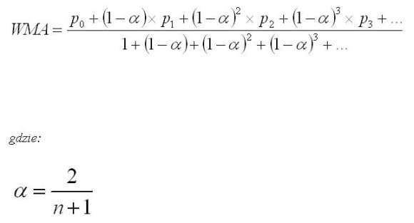
Średnia krocząca wyrównywana wykładniczo (eksponencjalna).Ta średnia również nadaje największą wagę ostatnim cenom. Jednak daje ona najlepsze wyniki, stąd jest najczęściej wykorzystywana. W oparciu o średnie wykładnicze jest zbudowany jeden z oscylatorów MACD.
wzr3 p0 - ostatnia wartość
p1 - przedostatnia wartość
pn - wartość sprzed n okresów
n - ilość okresów, z których są uwzględniane dane
Jak widać, obliczanie średnich kroczących wymaga wykonania wielu, niejednokrotnie pracochłonnych obliczeń. Jednak dzięki nowoczesnym technologiom informatycznym problem ten jest rozwiązany i konstruowanie każdego rodzaju, dowolnie długiej średniej nie stanowi żadnego problemu dla współczesnych programów analitycznych, np. Metastocka.
Charakter średnich
Średnie krótkoterminowe przebiegają w zbliżonym kierunku do wykresu cenowego, czasami go przecinają. Dają w ten sposób sygnały kupna lub sprzedaży. Sygnał kupna pojawia się kiedy wykres cenowy przebija średnią kroczącą od dołu. Z kolei sygnał sprzedaży powstaje wykres cenowy przebija średnią kroczącą od góry.Im średnia obejmuje krótszy okres tym bardziej jest zbliżona do wykresu cenowego i wykazuje większą zmienność. Częściej też go przecina, dając dużo wczesnych sygnałów. Stąd może jest bardziej przydatna dla aktywnych inwestorów krótkoterminowych. Należy zaznaczyć, że bardzo czuła średnia może dawać wiele sygnałów fałszywych. Średnie krótkoterminowe są bardziej użyteczne podczas trendów horyzontalnych. Wówczas wrażliwa średnia pozwala na monitorowanie małych zmian cen.
Podczas wyraźnego trendu wzrostowego lub spadkowego należy opierać się na średnich obejmujących dłuższe okresy. Ze względu na większe opóźnienie biegnie ona dalej od wykresu. Nie jest więc czuła na małe korekty i biegnie wzdłuż głównego kierunku zmian cen. Jednak w przypadku zmiany trendu daje zbyt późno sygnał sprzedaży. Aby uniknąć pomyłek analitycy stosują filtry, w postaci dodatkowego warunku, np. aby cena po przebiciu przekroczyła odpowiednią drogę.
Filtry czasu wykorzystują inwestorzy, którzy po pojawieniu się sygnału wstrzymują się przez pewien okres podjęciem decyzji zakupu lub sprzedaży. Inne rozwiązanie polega na wyznaczeniu wstęgi wahań cen (koperty procentowe). Wyznacza się dwie linie równoległe po obu stronach średniej. Są one oddalone o ustaloną liczbę procent od wykresu cenowego.
Dopiero po przebiciu którejkolwiek z linii można uznać, że sygnał zmiany trendu jest wiarygodny. Obszar pomiędzy liniami ograniczającymi nosi nazwę strefy zaporowej i kiedy kurs znajduje się w nim inwestor nie podejmuje żadnych decyzji o kupnie czy sprzedaży instrumentów finansowych.
Z dwiema, z trzema
Lepszym rozwiązaniem jest wykorzystywanie dwóch lub trzech średnich o różnych okresach. Pozwala to na korzystanie z sygnałów płynących z dwóch średnich kroczących oraz wzajemnej ich relacji. Za sygnał kupna uznaje się sytuację, kiedy krótsza średnia krocząca przebija od dołu dłuższą średnią. Natomiast sygnał sprzedaży jest generowany, gdy średnia krótsza przebija dłuższą od góry.Jest to metoda podwójnego przecięcia. Miarodajne wyniki daje zastosowanie średniej 5 i 20 dniowej lub 10 i 40 dniowej. Każdy analityk posiada w tym względzie własne preferencje, które w jego odczuciu dają najpewniejsze wyniki. Wybór okresu każdej ze średnich winien być jednak uzależniony od sytuacji na rynku oraz przyjętej strategii inwestycyjnej.
Metoda wykorzystania strefy neutralnej. Jeżeli wykres cenowy znajduje się w obszarze ograniczonym średnimi, wówczas nie są podejmowane żadne decyzje inwestycyjne - jest to strefa neutralna. Dopiero przecięcie obydwu średnich może być traktowane, jako sygnał kupna lub sprzedaży.
Z trzema
Jeszcze lepsze wyniki można uzyskać wykorzystując trzy średnie kroczące o różnych okresach – potrójne przecięcie. Często stosuje się układ średnich: 4-, 9-, 18-dniowych. Przy takich okresach w trendzie wzrostowym najkrótsza, a jednocześnie najbardziej wrażliwa średnia 4-dniowa przebiega najbliżej wykresu cenowego, ponad średnią 9-dniową, a ta znajduje się powyżej średniej najdłuższej.
Jeżeli na rynku panuje trend spadkowy, wówczas średnie układają się w kolejności odwrotnej. Najpewniejszy sygnał sprzedaży w trendzie wzrostowym pojawia się wówczas, kiedy 4-dniowa średnia przebija od góry średnią 9-dniową i 18-dniową. Z odwrotną sytuacją mamy do czynienia w przypadku zmiany trendy spadkowego na wzrostowy.
Wstęga Bollingera
Wstęga Bollingera to popularne narzędzie analizy technicznej , pozwalające na określenie względnych minimów i maksimów cenowych. Metoda ta została opracowana przez Johna Bollingera w latach 80-tych ubiegłego wieku.Wstęga Bollingera składa się z:
· górnej wstęgi – będącej jednokrotnością lub dwukrotnością odchylenia standardowego z „n” okresów, powyżej środkowej wstęgi,
· środkowej wstęgi – będącej średnią ruchomą z „n” okresów,
· dolnej wstęgi – będącej jednokrotnością lub dwukrotnością odchylenia standardowego z „n” okresów, poniżej środkowej wstęgi,
Przy jednokrotnym odchyleniu standardowym w obszarze ograniczonym górną i dolną wstęgą winno znajdować się około 68% wykresu. Natomiast przy dwukrotnym 95%. Szerokość wstęgi Bollingera dostarcza istotnych informacji o sytuacji na rynku. Wąska wstęga świadczy o niskiej zmienności cen, czyli niskim poziomie ryzyka, jak również o niższych potencjalnych zyskach z inwestycji. Szeroka wstęga dowodzi dużej zmienności cen, co zwiększa ryzyko inwestycyjne lecz daje jednocześnie możliwość osiągnięcia wyższych stóp zwrotu.
Ceny osiągają szczyt, jeżeli wykres cenowy dochodzi do górnej wstęgi. Natomiast rynek jest w dołku, jeżeli dotyka wstęgi dolnej. W pierwszym przypadku mamy do czynienia z rynkiem wykupionym, w drugim - z rynkiem wyprzedanym. Oznacza to, że jeżeli wykres dojdzie do górnej wstęgi, wówczas wzrasta prawdopodobieństwo jego odbicia i cofnięcia do dołu, co oznacza zmianę trendu wzrostowego na spadkowy - stanowi to sygnał sprzedaży. Z kolei dotknięcie przez wykres cenowy dolnej wstęgi daje informację o możliwości odwrócenia trendu na wzrostowy – sygnał kupna.
Sygnały te są jednak najbardziej wiarygodne, gdy rynek wykazuje odpowiednio wysoką zmienność. Jeżeli rynek jest w fazie konsolidacji, tzn. ceny ulegają małym wahaniom i występuje trend boczny, wówczas wstęga ulega zwężeniu. W takiej sytuacji nie należy podejmować decyzji inwestycyjnych na podstawie generowanych sygnałów lecz poczekać na wybicie. Może być ono bardzo silne, jeżeli okres konsolidacji był długi.
Nie oznacza to, że nie można dokonywać transakcji podczas trendu bocznego. W takiej sytuacji inwestor winien za sygnał kupna uważać obniżenie wykresu cenowego do obszaru wyprzedania a następnie jego powrót do obszaru znajdującego się między wstęgami. Poprzez analogię sygnałem sprzedaży będzie wejście cen w obszar wykupienia i ponowny ich powrót między wstęgi. Sygnały otrzymywane podczas analizy wstęg stanowią cenne uzupełnienie innych metod analizy technicznej.
Jan Mazurek






























































