Ile zapłacić za obligację aby uzyskać wymaganą stopę zwrotu? Jaką stopę zwrotu uzyskamy kupując obligację po danej cenie? Co stanie się z cenami obligacji, kiedy znów Rada Polityki Pieniężnej dokona zmiany stóp procentowych? Wszystkie te kwestie rozwiążemy w niniejszym poradniku.
1. Podstawowe parametry obligacji
Parametrami charakteryzującymi obligacje o stałym oprocentowaniu są:
- wartość nominalna - kwota zaciągniętego zobowiązania przez emitenta,
- cena emisyjna – cena, po której obligacja jest sprzedawana
obligatariuszom (obligacje sprzedawane poniżej wartości nominalnej to
obligacje z dyskontem; obligacje sprzedawane powyżej wartości nominalnej
to obligacje z premią),
- kurs rynkowy obligacji – cena rynkowa obligacji wyrażona w procentach wartości nominalnej
- kupony odsetkowe – okresowe świadczenia pieniężne,
- rentowność nominalna – stosunek wartości kuponu odsetkowego do wartości nominalnej:
(1)
gdzie:
C – kupon odsetkowy
Wn – wartość nominalna obligacji
- rentowność bieżąca – stosunek wartości kuponu odsetkowego do aktualnej ceny rynkowej obligacji:
(2) 
gdzie:
P – cena rynkowa obligacji
- rentowność w okresie do wykupu YTM (ang. Yield To Maturity), określana
na podstawie strumieni przyszłych przychodów wewnętrzna stopa zwrotu
(p. rozdział rentowność inwestycji w obligację)
- cena czysta obligacji – cena rynkowa obligacji bez skumulowanych odsetek
- cena obligacji (brudna) - cena rynkowa obligacji powiększona o skumulowane odsetki, obliczona wg wzoru:
(3)
- okres, na jaki obligacja została wyemitowana,
Przykład 1.
Obligacja trzyletnia wartości nominalnej 100,00 PLN, o kuponach
odsetkowych wypłacanych co rok wynoszących 5,00 PLN, notowana po kursie
98,38%. Od ostatniej wypłaty odsetek upłynął kwartał. Podstawowe
parametry takiej obligacji:
Cena rynkowa (czysta): 98,38%x100,00=98,38 PLN
Cena rynkowa (brudna): 98,38+0,25x5,00=99,63 PLN
Rentowność nominalna: 
Rentowność bieżąca:
Obliczone powyżej parametry nie wystarczą aby określić rentowność
inwestycji w obligację w pełnym jej okresie ani ceny, którą należy
zapłacić, aby uzyskać zakładaną rentowność. Niezbędne jest więc
korzystanie z bardziej zaawansowanych obliczeń opartych na zasadach
matematyki finansowej.
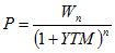
2. Wycena obligacji
Wartość obligacji stanowi suma zdyskontowanych strumieni przychodów
pieniężnych otrzymywanych w przyszłości z tytułu posiadania obligacji. W
praktyce w przypadku świadczeń pieniężnych, są to kupony odsetkowe oraz
kwota uzyskana z tytułu wykupu obligacji, którą jest najczęściej
wartość nominalna obligacji (pożyczka udzielona przez nabywcę
obligacji). Stopą dyskonta jest średnia rentowność w okresie do wykupu
obligacji (YTM).
Znając wielkości przyszłych wypłat odsetek, wartość obligacji można przedstawić wzorem:
(4)
gdzie:
C1, C2, Cn- wielkości strumieni odsetkowych
Ww – wartość wykupu obligacji (zazwyczaj jest to wartość nominalna)
YTM - stopa zwrotu w terminie do wykupu
n - liczba okresów odsetkowych
Dla obligacji o stałym oprocentowaniu oraz wykupywanej po wartości
nominalnej jej wartość zakupu określić można na podstawie poniższego
wzoru.
Przykład 2:
Należy obliczyć cenę trzyletniej obligacji o wartości nominalnej
100,00 zł i kuponie odsetkowym wypłacanym co rok w wysokości 5%, po
takiej cenie aby uzyskać stopę zwrotu z inwestycji w wysokości 5,6%.
Odsetki roczne wynoszą: 5% * 100,00 zł = 5,00 zł.
Stąd wartość obligacji wynosi:
Stąd wniosek, że kupno obligacji po cenie 98,38 PLN zapewnia
rentowność inwestycji 5,6%.Na wartość obligacji ma wpływ również
częstotliwość wypłacanych odsetek. Im częściej są one wypłacane tym ich
wartość jest większa.
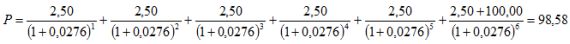
Przykład 3:
Na rynku znajduje się druga obligacja o takich samych parametrach, jak w
Przykładzie 2, lecz kupony są wypłacane dwa razy częściej – co pół
roku. Dla poparcia tej tezy obliczmy wartość podobnej obligacji, która
różni się jedynie częstotliwością wypłat odsetek co pół roku.
Przy reinwestycji kuponów po stopie procentowej równiej średniej stopie
zwrotu, relacja pomiędzy półroczną oraz roczna stopą zwrotu jest
następująca:
(5)
gdzie:
YTM1/2 - stopa zwrotu dla okresu półrocznego
YTM1/1 - stopa zwrotu dla okresu rocznego (0,056)
Po podstawieniu i wyliczeniu: YTM1/2 = 0,0276 (2,76%)
Stąd wartość obligacji wynosi:
Jak widać z powyższego wartość obligacji z kuponami płatnymi co pół roku
jest większa niż wartość obligacji, z której kupony są płatne co rok.
Stąd wniosek, że zapłacenie ceny wyższej o 20 groszy przy obligacji z
kuponami półrocznymi zapewnia taką samą rentowność, jak inwestycja w
obligację z kuponami rocznymi. Dla obligacji zerokuponowej obliczenia
ulegają uproszczeniu, gdyż nie występują tu kupony odsetkowe, a jej cenę
określa poniższy wzór:
(6)
Przykład 4
Przyjmując, że wartość nominalna trzyletniej obligacji
zerokuponowej wynosi 1.000 PLN a wymagana stopa zwrotu wynosi 6%, cenę
jaka należy zapłacić za obligację można określić z wzoru (6).
Po podstawieniu danych z przykładu:
Dla uzyskania wymaganej stopy zwrotu należy kupić tą obligację z dyskontem 160,38 PLN.
3. Rentowność inwestycji w obligację
Znajomość zagadnień wyceny obligacji pozwala na określenie stopy zwrotu
obligacji przy danej cenie rynkowej, co pozwala oszacować z góry
rentowność inwestycji w te papiery. W tym przypadku, wymagane jest
wyliczenie YTM z wzoru na wartość obligacji. W przypadku obligacji z
dwoma kuponami, rozwiązanie jest proste, gdyż sprowadza się do
rozwiązania równania kwadratowego.
Natomiast, problem może wystąpić dla większej ilości okresów
odsetkowych, gdyż już dla równania 3-go i wyższego stopnia,
wykorzystanie tradycyjnych metod może być bardzo trudne lub niemożliwe.
W tym celu, dla określenia wartości YTM, niezbędne jest użycie
kalkulatora finansowego wyposażonego w solver lub arkusza
kalkulacyjnego.
Przykład 5:
Na rynku znajdują się obligacje trzyletnie o wartości nominalnej 100 PLN
i kuponie rocznym, wynoszącym 5,5%. Cena rynkowa tych obligacji wynosi
98,55 zł. Należy określić stopę zwrotu inwestycji w te obligacje:Po
podstawieniu do wzoru na cenę obligacji otrzymujemy:
Rozwiązanie tego równania daje wynik: YTM = 0,0604 (6,04%).
Dla wyliczenia stopy zwrotu YTM można zastosować również uproszczony wzór, zwany wzorem bankowym:
(7)
Po podstawieniu danych otrzymujemy:
Otrzymany wynik jest zbliżony do określonego poprzednio, co daje
możliwość wykorzystanie go dla kalkulacji rentowności inwestycji w
obligacje.
Przy obliczaniu rentowności inwestycji w obligację zerokuponową nie
występują kupony odsetkowe. Stąd należy wzór na obliczenie YTM jest
następujący:
(8)
Przykład 6.
Założenia: 5-letnia obligacja zerokuponowa o wartości nominalnej 100 PLN
sprzedawana z dyskontem wynoszącym 25%. Należy obliczyć stopę zwrotu w
okresie do wykupu.Obligacja jest więc sprzedawana w cenie 75 PLN. Stąd
po podstawieniu danych otrzymujemy:

Zobacz także
4. Wrażliwość obligacji na zmiany rynkowych stóp procentowych
Rynkowe stopy procentowe mają decydujący wpływ na ceny obligacji, gdyż
kreują one popyt na te papiery. Ich wzrost powoduje spadek
zainteresowania obligacjami, gdyż w efekcie wzrośnie konkurencyjność
lokat bankowych. Stąd wyprzedaż papierów i wynikający z tego wzrost
podaży będzie powodował obniżenie cen obligacji o stałym oprocentowaniu.
Zjawisko to można również udowodnić matematycznie z wykorzystaniem
wzoru na wartość obligacji. W tym celu wykorzystamy wynik z przykładu 1.
Przykład 7.
Wzrost stop procentowych, a wraz z nim oczekiwanej stopy zwrotu do 6,20%.
Wzrost stóp procentowych o 0,6 punktu procentowego spowodował spadek ceny obligacji do 96,80 PLN, tj. o 1,58 PLN (1,61%).
Przykład 8.
Spadek stóp procentowych do 5,00%.
Spadek stóp procentowych o 0,6 punktu procentowego spowodował wzrost ceny obligacji do 100,00 PLN, tj. o 1,62 PLN (1,65%).
5. Średni czas trwania obligacji (duration)
Czas trwania obligacji jest jednym z najważniejszych czynników
pozwalających określić wrażliwość obligacji na zmiany stóp procentowych,
a więc stopień ryzyka inwestycji w obligacje. Inaczej, można go
określić, jako średnioważony okres ważności wpływów (odsetek). Zatem
wielkość przepływów pieniężnych oraz ich częstotliwość będzie miała
wpływ na długość tego okresu i zmniejszanie się ryzyka inwestycyjnego. W
ujęciu matematycznym jest to ważony ilością lat i ceną obligacji czas
zwrotu z inwestycji.
Wzór określający czas trwania obligacji:
9)
gdzie:
MD - średni czas trwania obligacji (Mcaulay duration), wyrażony w latach
C1, C2, Cn - wielkości strumieni odsetkowych
Ww – wartość wykupu obligacji (zazwyczaj jest to wartość nominalna)
YTM - stopa zwrotu w terminie do wykupu
P - cena obligacji w chwili jej nabycia
Każda obligacja o oprocentowaniu nominalnym daje inwestorowi co pewien
okres (np 1 rok) wpływy gotówkowe. Każdy taki wpływ zmniejsza ryzyko
inwestycji. Stąd wniosek, że obligacja o krótszym okresie trwania będzie
bezpieczniejsza, gdyż czas ryzyka jest krótszy.
Średni czas trwania obligacji zależy od:
- okresu ważności obligacji - im okres ważności dłuższy, tym czas trwania obligacji jest dłuższy,
- oprocentowania nominalnego obligacji - im oprocentowanie wyższe, tym czas trwania obligacji jest krótszy,
- częstotliwości wypłaty odsetek - im większa tym, czas trwania obligacji krótszy.
Średni czas trwania obligacji nie może być dłuższy od okresu jej
ważności. Średni czas trwania obligacji zerokuponowej jest równy
okresowi ważności tej obligacji - nie ma wpływów gotówki. Inwestor
ponosi pełne ryzyko do dnia wykupu obligacji.
Przykład 9: Średni czas trwania obligacji z przykładu 2 otrzymujemy po podstawieniu do wzoru:
Jak widać strumienie pieniężne, jakie otrzymał inwestor w ciągu 2,86
roku zrównoważyły ryzyko inwestycyjne, co pozwala określić jakość takiej
inwestycji. Średni czas trwania obligacji stanowi narzędzie do
określenia wpływu zmiany rynkowych stóp procentowych na względną zmianę
ceny obligacji. Zależność tą ujmuje następujący wzór:
10)
gdzie:
- procentowa zmiana wartości obligacji
MD – średni czas trwania obligacji
- modyfikowany średni czas trwania obligacji
- zmiana rynkowej stopy procentowej
Mając do dyspozycji ten wzór można obliczyć zmianę ceny obligacji dla
przykładu 7 i 8, gdzie stopy zmieniały się w górę i w dół o 0,6 punktu
procentowego.
Jak widać uzyskany wynik jest zbliżony to tych uzyskanych w przykładach 6 i 7.
6. Najważniejsze zasady przy inwestycji w obligacje
- Wzrost rynkowych stóp procentowych powoduje spadek cen obligacji, zatem wzrost ich rentowności.
- Spadek rynkowych stóp procentowych powoduje wzrost cen obligacji, zatem spadek ich rentowności.
- Jeżeli stopa zwrotu w okresie do wykupu jest równa oprocentowaniu obligacji to jej cena jest równa wartości nominalnej.
- Im wyższe oprocentowanie nominalne obligacji, tym krótszy czas trwania obligacji, zatem skraca się czas ryzyka inwestycji.
- Im dłuższy średni czas trwania obligacji tym obligacja jest bardziej wrażliwa na zmiany stóp procentowych.




























































