Opcja to niezwykle wrażliwy instrument finansowy, który reaguje na wiele czynników rynkowych. Może posiadać nawet wartość, chociażby teoria przeczyła temu. Jeżeli ktoś kupuje taką opcję widzi jej wartość dodaną. Jednak jest ona ulotna jak upływ czasu.
Cena opcji
Cena opcji stanowi sumę dwóch składników:
- wartości wewnętrznej
- wartości czasowej (zewnętrznej)
Można to zapisać następującym równaniem:
cena opcji = wartość wewnętrzna + wartość czasowa

Wykres 1. Cena opcji kupna (call) w zależności od ceny aktywa bazowego

Wykres 2. Cena opcji sprzedaży (put) w zależności od ceny aktywa bazowego
Przedstawiony na wykresie 1 i 2 obszar znajdujący się pod krzywą powyżej
osi odciętych oraz linii wartości wewnętrznej stanowi wartość czasową
opcji. Jest to wartość dodana, o której decyduje wiele czynników oraz
rynek.
Wartość czasowa opcji przy takich samych parametrach zmniejsza się wraz z
upływem czasu. W chwili wygaśnięcia opcji wynosi ona zero, co oznacza,
że cena opcji jest wówczas równa jej wartości wewnętrznej.
Jak wynika z powyższych wykresów, w okresie ważności opcji istnieje wartość czasowa. Nawet opcja poza pieniądzem(out of the money) posiada wartość, którą jest jej cena transakcyjna na giełdzie.
Inwestorzy kupujący tanie opcje liczą na wzrost ich ceny spowodowany
popytem lub wywołany zmianą ceny aktywa bazowego, co spowoduje, że staną
się one opcjami w pieniądzu (in the money). Cena opcji out of the money jest w całości jej wartością czasową.
Krzywa ceny opcji posiada dwie asymptoty. Dla opcji kupna jest to oś
odciętych, na której są przedstawione wartości aktywa bazowego oraz
linia nachylona po kątem 45 stopni. W przypadku opcji sprzedaży linia
ceny opcji jest ograniczona poziomą osią ceny aktywa bazowego oraz linia
nachyloną pod kątem 135 stopni.
Czynniki mające wpływ na cenę opcji
Na cenę opcji wywierają wpływ następujące czynniki:
- cena rynkowa aktywa bazowego,
- cena wykonania opcji,
- zmienność ceny aktywa bazowego,
- okres do wygaśnięcia opcji,
- stopa procentowa wolna od ryzyka,
- dywidenda (dotyczy opcji na akcje).
Cena rynkowa aktywa bazowego
Wzrost ceny aktywa bazowego powoduje wzrost ceny opcji kupna. Wynika to z
faktu, że wraz ze wzrostem ceny aktywa bazowego wzrasta wartość
wewnętrzna opcji kupna. W przypadku opcji sprzedaży wzrost ceny aktywa
bazowego skutkuje spadkiem jej ceny. Przyczyną jest spadek wartości
wewnętrznej opcji, jaki ma miejsce w takiej sytuacji.
Cena wykonania opcji

Opcje, które dają prawo kupna aktywa bazowego po wyższej cenie są mniej
atrakcyjne od opcji, dających możliwość zakupu tego aktywa po cenie
niższej. Stąd, im wyższa cena wykonania opcji kupna, tym niższa jej cena
rynkowa. Wzrost ceny wykonania powoduje spadek wartości wewnętrznej opcji kupna.
W przypadku opcji sprzedaży relacja jest odwrotna – im wyższa cena
wykonania tym opcja jest więcej warta. Opcje, które dają prawo sprzedaży
aktywa bazowego po wyższej cenie są bardziej atrakcyjne niż opcje,
dające możliwość sprzedaży tego aktywa po cenie niższej. realizacji
opcji przez sprzedaż aktywa bazowego, można uzyskać za niego wyższą
cenę. Wzrost ceny wykonania powoduje wzrost wartości wewnętrznej opcji.
Zmienność cen aktywa bazowego
Wzrost zmienności cen aktywa bazowego powoduje wzrost ceny opcji kupna i
opcji sprzedaży. Przyczyną jest zwiększenie się prawdopodobieństwa, że w
dniu wykonania cena aktywa bazowego będzie:
- wysoka, co spowoduje podwyższenie wartości opcji kupna,
- niska, co spowoduje podwyższenie wartości opcji sprzedaży.

Okres do wygaśnięcia opcji
Wraz ze zbliżaniem się do dnia wygaśnięcia opcji zmniejsza się wartość
czasowa opcji, co skutkuje zbliżaniem się jej ceny do wartości
wewnętrznej. Dotyczy to obydwu rodzajów opcji. Przyczyną jest spadek
prawdopodobieństwa, że na opcji będzie można osiągnąć zysk spekulacyjny
przed jej wygaśnięciem lub zwiększeniem się jej wartości wewnętrznej.
Wykres 5. Wartość wewnętrzna opcji w zależności od upływu czasu
Krzywe odzwierciedlające ceny opcji zbliżają się do linii prostych
odzwierciedlających wartość wewnętrzną opcji. W dniu wygaśnięcia cena
opcji jest równa wartości wewnętrznej.

Wykres 6. Krzywe odzwierciedlające ceny opcji w zależności od upływu czasu
Stopa procentowa wolna od ryzyka
Wraz ze wzrostem stopy procentowej wzrasta cena opcji kupna, natomiast
spada cena opcji sprzedaży. Wynika to z faktu, że wzrost stopy
procentowej powoduje obniżenie wartości obecnej ceny wykonania. Wpływ
ceny wykonania na cenę opcji został opisany wyżej.
1)
gdzie:
PX – obecna wartość ceny wykonania
X – nominalna cena wykonania
r – stopa procentowa
Wypłata dywidendy (dotyczy tylko akcji)
Wypłata dywidendy powoduje obniżenie ceny akcji, co powoduje obniżenie
ceny opcji kupna oraz wzrost ceny opcji sprzedaży. Wypłata dywidendy
pomniejsza cenę akcji, które są aktywem bazowym. Wpływ zmiany ceny akcji
na cenę opcji został opisany powyżej.
Dalej: Parytet i Wycena opcji - Model Black'a -Scholes'a
Partytet
Pomiędzy cenami opcji zachodzi zależność, która jest określana mianem parytetu opcji kupna i sprzedaży (call-put-parity). Dla europejskiej opcji na akcje ma on następującą postać:
2)
przy założeniu kapitalizacji ciągłej odsetek wzór powyższy przyjmuje postać:
3)
gdzie:
c – wartość opcji kupna (call)
p – wartość opcji sprzedaży (put)
X – cena wykonania opcji
S – cena akcji
R – stopa procentowa wolna od ryzyka
T – okres do wygaśnięcia opcji liczony w ułamku roku
W normalnych warunkach rynkowych zachowana jest równowaga pomiędzy lewą i
prawą stroną równania 2 lub 3. Jednak w przypadku nieefektywności rynku
lewa strona może być większa od prawej lub odwrotnie. Oznacza to, że
jedna z opcji jest przeszacowana lub niedoszacowana. Jest to okazja dla
przeprowadzenia zyskownego arbitrażu, czyli transakcji bez ryzyka. Są to jednak operacje skomplikowane i dla profesjonalistów.
Wycena opcji - Model Black’a - Scholes’a
Najczęściej wyceny opcji
dokonuje się przy pomocy modelu stworzonego przez dwóch uczonych:
Fischera Blacka i Myrona Scholes’a za który otrzymali oni Nagrodę Nobla z
dziedziny ekonomii. Model ten nazwany został modelem Blacka-Scholesa.
Założenia dla tego modelu są następujące:
- stopy zwrotu z akcji zmieniają się zgodnie z rozkładem logarytmiczno-normalnym,
- oczekiwana stopa zwrotu z akcji oraz zmienność ceny akcji są stałe,
- nie istnieją koszty transakcyjne oraz podatki,
- akcje są doskonale podzielne,
- od akcji stanowiących aktywa bazowe dla danej opcji w okresie jej ważności nie są wypłacane dywidendy,
- nie ma możliwości zawierania transakcji arbitrażowych pozbawionych ryzyka,
- transakcje na akcjach odbywają się w sposób ciągły,
- istnieje możliwość zaciągania i udzielania pożyczek według stopy procentowej wolnej od ryzyka,
- wolna od ryzyka stopa procentowa jest stała.
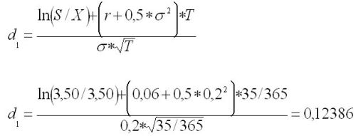
Zasada wyceny opcji zostanie pokazana na przykładzie przy następujących danych:
Cena akcji (S): 3,50 EUR
Cena realizacji (X): 3,50 EUR
Zmienność cen akcji wyrażona odchyleniem standardowym: (s) 20 % (0,20)
Stopa wolna od ryzyka (r): 6 % (0,06)
Czas do wygaśnięcia opcji (T): 35 dni, tj. 35/365 roku
Spółka nie wypłaca dywidendy w okresie ważności opcji.
Wzór na cenę opcji call ma następującą postać:
4)
gdzie:
5)
6)
Z tablic rozkładu normalnego odczytujemy:
N(d1) = N(0,12386) = 0,5493
N(d2) = N(0,06193) = 0,5247
Po podstawieniu do wzoru na cenę opcji kupna (call) otrzymujemy:
Cenę opcji put obliczamy, korzystając z parytetu call - put parity:
Jan Mazurek



















































