Prawa wynikające z akcji
Posiadanie akcji daje akcjonariuszom określone prawa, których zakres oraz zasady przyznawania są uregulowane w statucie spółki oraz kodeksie spółek handlowych. Mogę być one zbywalne lub niezbywalne. Dzielą się one na dwie kategorie:Prawa majątkowe
1. Prawo do dywidendy, czyli udziału w zysku netto spółki. Po zakończeniu roku obrachunkowego Walne Zgromadzenie Akcjonariuszy dokonuje podziału zysku netto, który stanowi wynik finansowy spółki po poniesieniu wszystkich kosztów oraz zapłaceniu podatku dochodowego CIT. Część zysku netto jest zatrzymana w spółce, gdzie jest przeznaczana na jej rozwój. Druga część zysku jest wypłacana akcjonariuszom w postaci dywidendy. W skrajnych przypadkach spółka może przeznaczyć cały zysk netto na dywidendę lub zatrzymać cały zysk, nie wypłacając w danym roku dywidendy, a przeznaczając go np. na inwestycje. Prawo do dywidendy nabywają akcjonariusze posiadający akcje w dniu oznaczonym przez spółkę, jako dzień ustalenia prawa do dywidendy. Aby stać się posiadaczem prawa do dywidendy inwestor winien posiadać akcje w okresie (najczęściej określonym dniu) uprawniającym do nabycia tego prawa. Zbycie akcji po terminie uprawniającym do nabycia prawa do dywidendy nie powoduje jego utraty. Zlecenia kupna lub sprzedaży akcji "z prawem do dywidendy", które nie zostały zrealizowane w trakcie sesji w ostatnim dniu uprawniającym do nabycia akcji z prawem do dywidendy (D) zostają po sesji anulowane.
Na następnej sesji po ostatnim dniu uprawniającym do nabycia akcji z prawem do dywidendy (D) kurs akcji jest podawany przez giełdę z oznaczeniem "bd" (bez dywidendy).
Kurs odniesienia na pierwszej sesji po dniu D jest obliczany:
- ostatni kurs zamknięcia pomniejszony o wartość dywidendy przypadającej na akcję - w przypadku notowań ciągłych
- ostatni kurs jednolity pomniejszony o wartość dywidendy przypadającej na akcję - w przypadku notowań jednolitych
1. Prawo do udziału w podziale majątku spółki w przypadku jej likwidacji. W takim przypadku akcjonariusze spółki mają prawo do udziału w masie likwidacyjnej lub upadłościowej w proporcji zgodnej z ilością posiadanych akcji. Należy zaznaczyć, że pierwszeństwo przed nimi posiadają posiadacze obligacji wyemitowanych przez spółkę, gdyż najpierw są zaspokajani wierzyciele.
2. Prawo poboru akcji nowej emisji akcji - daje możliwość akcjonariuszowi do zakupu akcji nowej emisji po ustalonej przez spółkę cenie emisyjnej. W przypadku spółek notowanych na giełdzie, zazwyczaj tak ustalona cena emisyjna jest niższa, niż aktualna cena rynkowa akcji. Emisja nowych akcji daje spółce możliwość rozwoju, a zatem osiągania większych zysków w przyszłości. Na każdą dotychczasową akcję przypada jedno prawo poboru. Spółka określa ilość praw poboru, niezbędnych dla zakupu jednej akcji nowej emisji oraz dzień ustalenia tego prawa. Prawo poboru może być w uzasadnionych przypadkach ograniczone lub wyłączone przez walne zgromadzenie.
Akcjonariusze, którzy posiadają akcje w dniu prawa poboru, stają się automatycznie posiadaczami praw poboru. Prawo poboru jest papierem wartościowym, które może być przedmiotem obrotu giełdowego. Akcjonariusze, którzy otrzymali prawa poboru, mogą je sprzedać na rynku, wykonać je, nabywając akcje nowej emisji, nic z nimi nie robić pozwalając im wygasnąć, jeżeli kupno akcji z wykorzystaniem praw poboru jest mniej opłacalne niż ich kupno na rynku. W związku z tym istnieje rynek obrotu prawami poboru, gdzie ceny ich wynikają głównie z aktualnej sytuacji rynkowej oraz czasu do ich wygaśnięcia..
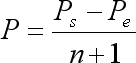
Teoretyczną wartość prawa poboru określa wzór:

P - teoretyczna wartość prawa poboru,
Ps - cena rynkowa akcji,
N - liczba praw poboru przypadających na jedną akcję nowej emisji,
Pe - cena emisyjna akcji nowej emisji.
Przykład:
Cena rynkowa akcji notowanych na giełdzie wynosi 100,00 PLN, zaś cena emisyjna akcji nowej emisji wynosi 70,00 PLN. Do zakupu jednej akcji nowej emisji potrzebne jest 5 praw poboru. Po zastosowaniu powyższego wzoru otrzymujemy wartość teoretyczną prawa poboru:

Akcjonariusze, którzy posiadają akcje starej emisji uzyskują w ten sposób instrument, który zwiększa wartość ich portfela o 5 PLN na każdej posiadanej akcji. Akcjonariusz, który posiada w portfelu 5 akcji otrzymuje 5 praw poboru wartych łącznie 25,00 PLN. Jeżeli zdecyduje się na ich realizację, co zwiększy stan jego portfela do 6 akcji, którego wartość rynkowa wynosi 600,00 PLN. Na koszt utworzenia takiego portfela wchodzi cena rynkowa akcji oraz cena nabycia akcji nowej emisji:
P = 70,00 + 5 X 100,00 = 570,00 PLN
Stąd koszt jednostkowy nabycia jednej akcji wynosi:
P = 570,00 / 6,00 = 95,00
Sprzedaż wszystkich akcji na rynku po kursie 100,00 PLN pozwala na osiągnięcie zysku 30,00 PLN. Zysk na akcję stanowi 5,00 PLN i jest równy teoretycznej wartości prawa poboru.
Prawa korporacyjne
1. Prawo do uczestnictwa w walnym zgromadzeniu. Każdy akcjonariusz może uczestniczyć na walnym zgromadzeniu akcjonariuszy i podejmować uchwały w zakresie ustalonym porządkiem obrad. Posiadacze akcji imiennych mogą uczestniczyć w walnym zgromadzeniu akcjonariuszy, jeżeli zostali wpisani do księgi akcyjnej co najmniej na tydzień przed datą walnego zgromadzenia. W przypadku akcji na okaziciela należy je złożyć w spółce co najmniej tydzień przed datą walnego zgromadzenia. Akcje te mogą być złożone również u notariusza lub w firmie inwestycyjnej mającej siedzibę lub oddział na terenie Unii Europejskiej, a dowód ich złożenia winien być przekazany do spółki. Osoby będące w posiadaniu akcji zdematerializowanych, znajdujących się w obrocie regulowanym, aby uczestniczyć w walnym zgromadzeniu, winny złożyć w spółce najpóźniej na tydzień przed datą walnego zgromadzenia imienne świadectwa depozytowe wystawione przez dom maklerski.
2. Prawo głosu podczas uczestnictwa w zgromadzeniu akcjonariuszy, które mogą realizować osobiście lub przez pełnomocników. Na jedną akcję przypada jeden głos w przypadku akcji zwykłych oraz dwa głosy w przypadku akcji uprzywilejowanych co do głosu. Poprzednie regulacje prawne zawarte w kodeksie handlowym dopuszczały uprzywilejowanie do 5 głosów. W przypadku zamiany akcji imiennej na okaziciela uprzywilejowanie to wygasa. Stąd wszystkie akcje znajdujące się w obrocie regulowanym posiadają prawo do jednego głosu na walnym zgromadzeniu akcjonariuszy.
Akcjonariusz biorący udział w zgromadzeniu akcjonariuszy może głosować za podjęciem uchwał dotyczących istotnych spraw spółki, zatwierdzenie sprawozdania zarządu z działalności spółki oraz sprawozdania finansowego za ubiegły rok obrotowy oraz udzielenie absolutorium członkom organów spółki z wykonania przez nich obowiązków. Akcjonariusz, jako współwłaściciel ma więc możliwość wpływu na działalność spółki, który zależy od posiadanej ilości głosów na zgromadzeniu akcjonariuszy.
Statut spółki może ograniczyć prawo głosu akcjonariuszy dysponujących powyżej 20% ogólnej liczby głosów na walnym zgromadzeniu akcjonariuszy. Ograniczenie to może dotyczyć wyłącznie głosów z akcji przekraczających limit głosów określony w statucie.
3. Prawo do wyboru członków rady nadzorczej oraz zarządu, jeżeli statut przewiduje takie uprawnienia.
4. Prawo do zwołania walnego zgromadzenia. Akcjonariusz lub akcjonariusze posiadający łącznie akcje stanowiące co najmniej 10% kapitału zakładowego, jeżeli dojdą do porozumienia, mogą żądać zwołania nadzwyczajnego zgromadzenia akcjonariuszy i umieszczenia w porządku obrad określonych spraw.
5. Prawo do podejmowania uchwał na walnym zgromadzeniu.
6. Prawo zaskarżania uchwał walnego zgromadzenia. Akcjonariusz może wnieść oskarżenie do sądu w przypadku podjęcia przez zgromadzenie akcjonariuszy uchwały sprzecznej z prawem, statutem bądź dobrymi obyczajami, jeżeli narusza ona interes spółki albo mającej na celu pokrzywdzenie akcjonariusza oraz w przypadku uchwały sprzecznej z prawem.
7. Prawo żądania informacji podczas walnego zgromadzenia i poza nim. W przypadku spółki publicznej zakres informacji może być ograniczony do tych, które nie są poufnymi w rozumieniu przepisów ustawy o ofercie publicznej. Do chwili jej upublicznienia stanowi ona informację poufną. Informacje wymagane prawem spółka przekazuje przy pomocy systemu ESPI (link do strony z wiadomościami ESPI na Bankier.pl) do Komisji Nadzoru Finansowego oraz ogólnopolskiej agencji informacyjnej - Polskiej Agencji Prasowej.
8. Prawo wystąpienia z powództwem o naprawienie szkody wyrządzonej spółce, jeżeli spółka nie wytoczy takiego powództwa w terminie roku od dnia ujawnienia czynu wyrządzającego szkodę.
9. Prawo przeglądania księgi akcyjnej i żądania odpisu za zwrotem kosztów jego sporządzenia.
10. Prawo otrzymania od spółki dokumentu akcji.
Spółka może emitować również akcje uprzywilejowane dające pewnej grupie akcjonariuszy szczególne uprawnienia. Uprzywilejowanie, może dotyczyć:
- ilości głosów na zgromadzeniu akcjonariuszy - posiadacz akcji uprzywilejowanej posiada dwa głosy, uprzywilejowanie to nie dotyczy akcji na okaziciela i wygasa w przypadku zamiany akcji imiennej na akcję na okaziciela. Stąd akcje notowane na rynku regulowanym posiadają zawsze jeden głos na zgromadzeniu akcjonariuszy,
- prawa do dywidendy - posiadacz akcji ma prawo do otrzymywania stałej wielkości dywidendy, jednak nie może ona przewyższać o więcej niż połowę dywidendę wypłacaną posiadaczom akcji zwykłych. Inną formą uprzywilejowania w zakresie prawa do dywidendy jest brak limitu dla jej wysokości, co zapewniają akcje nieme, nie dające akcjonariuszowi prawa głosu na zgromadzeniu.
- prawa pierwszeństwa do udziału w masie likwidacyjnej - posiadacz akcji ma pierwszeństwo przed posiadaczami akcji zwykłych do udziału w masie likwidacyjnej spółki.
Prawo do nowych akcji (PDA)
Jest to instrument finansowy istniejący od dnia zapisu inwestora na akcje nowej emisji do dnia pierwszego notowania. Na każdą subskrybowaną akcję przypada jedno prawo do akcji. Do czasu rozpoczęcia notowań giełdowych akcji nowej emisji może upłynąć sporo czasu, wówczas inwestor może to prawo zbyć na giełdzie, odzyskując środki na inne inwestycje. Z kolei inwestorzy, którzy nie subskrybowali akcji lub akcje nie zostały im przydzielone w żądanej ilości mogą je nabyć. Z prawa do akcji wynikają analogiczne uprawnienia, jak z akcji.Obowiązki akcjonariuszy
Akcjonariusze są zobowiązani do pełnej zapłaty ceny emisyjnej za nabywane akcje. Posiadacze akcji imiennych mogą być zobligowani do określonych świadczeń pieniężnych. W niektórych przypadkach zarząd spółki może wydać akcje imienne przed dokonaniem przez nich pełnej wpłaty.W przypadku spółek publicznych na akcjonariuszy posiadających znaczące pakiety akcji są nałożone obowiązki, mające na celu ochronę drobnych akcjonariuszy. Są to
obowiązki informacyjne oraz ogłoszenia wezwania przy nabywaniu akcji. Akcjonariusze zwiększający lub zmniejszających udział w ogólnej liczbie głosów na walnym zgromadzeniu, przy osiągnięciu lub przekroczeniu 5%, 10%, 20%, 25%, 33%, 50% i 75% ogólnej liczby głosów na walnym zgromadzeniu są zobowiązani poinformować o tym fakcie spółkę oraz Komisję Nadzoru Finansowego.
Obowiązek informacyjny powstaje również w przypadku zmiany dotychczas posiadanego udziału o co najmniej 2% ogólnej liczby głosów, jeśli akcjonariusz posiada powyżej 10% głosów na WZA. Ten przepis odnosi się do spółek publicznych, których akcje są dopuszczone do obrotu na rynku oficjalnych notowań giełdowych. W przypadku spółek publicznych, których akcje są dopuszczone do obrotu na innym rynku regulowanym, akcjonariusze posiadający powyżej 10% głosów na WZA zobowiązani są informować o zmianie posiadanego udziału, jeśli zmiana ta wyniesie co najmniej 5% głosów.
Akcjonariusz posiadający mniej niż 33% ogólnej liczby głosów ma obowiązek ogłoszenia wezwania w przypadku, gdy poprzez nabycie akcji zwiększy jego udział w spółce o więcej niż 10% ogólnej liczby głosów na walnym zgromadzeniu w czasie krótszym niż 60 dni. Natomiast akcjonariusz, który posiada pakiet akcji dający mu co najmniej 33% ogólnej liczby głosów, jest zobowiązany ogłosić wezwanie, jeżeli zamierza zwiększyć udział w spółce o więcej niż 5% w czasie krótszym niż 12 miesięcy.
Akcjonariusz może nabyć akcje pozwalające mu przekroczyć próg 33% ogólnej liczby głosów jedynie wtedy, gdy ogłosi publiczne wezwanie na sprzedaż lub zamianę akcji w liczbie zapewniającej osiągnięcie poziomu 66% głosów. Z kolei jeżeli akcjonariusz zamierza nabyć taką ilość akcji, w wyniku czego przekroczyłby próg 66% ogólnej liczby głosów, jest zobowiązany dokonać takiej transakcji ogłaszając wezwanie na sprzedaż lub zamianę wszystkich pozostałych akcji spółki.
Akcjonariusze są zobowiązani odsprzedać posiadane akcje po ogłoszeniu przymusowego wykupu przez akcjonariusza posiadającego co najmniej 90% ogólnej liczby głosów.
Akcjonariusz, dokonujący wezwania winien ustanowić zabezpieczenie w wysokości nie mniejszej niż 100% wartości akcji, które mają być przedmiotem przymusowego wykupu.
Przymusowy wykup jest ogłaszany i przeprowadzany za pośrednictwem domu maklerskiego. O zamiarze ogłoszenia wykupu dom maklerski winien powiadomić Komisję Nadzoru Finansowego oraz Giełdę Papierów Wartościowych lub MTS-CeTO nie później niż na 14 dni roboczych przed jego rozpoczęciem.
Cena wykupu akcji nie może być niższa od średniej ceny głównego rynku notowań z okresu 6 miesięcy poprzedzających ogłoszenie wezwania. Niedopuszczalne jest odstąpienie od realizacji ogłoszonego wykupu.




























































