Nauka jest jednym z najlepszych narzędzi ludzkości służącym do poznawania otaczającego nas świata. Niestety uczeni przedstawiający twarde dane naukowe często spotykają się z niezrozumieniem i brakiem zaufania. Badacze z Amsterdamu przyjrzeli się przedstawicielom 45 specjalizacji naukowych, by przekonać się jakim naukowcom najbardziej jesteśmy skłonni zawierzyć.


Naukowcy zajmują się niemal każdym aspektem naszego życia, starając się lepiej go zrozumieć lub udoskonalić. Zajmują się zmianami klimatu, przyrodniczymi katastrofami, społeczeństwem i wszystkim od najdrobniejszych kwarków po najmasywniejsze czarne dziury. Jednocześnie zaskakujące może się wydawać, że w wielu przypadkach nie jesteśmy skłonni dowierzać ludziom, którzy na zgłębienie danego tematu często poświęcili długie lata lub nawet dziesięciolecia.
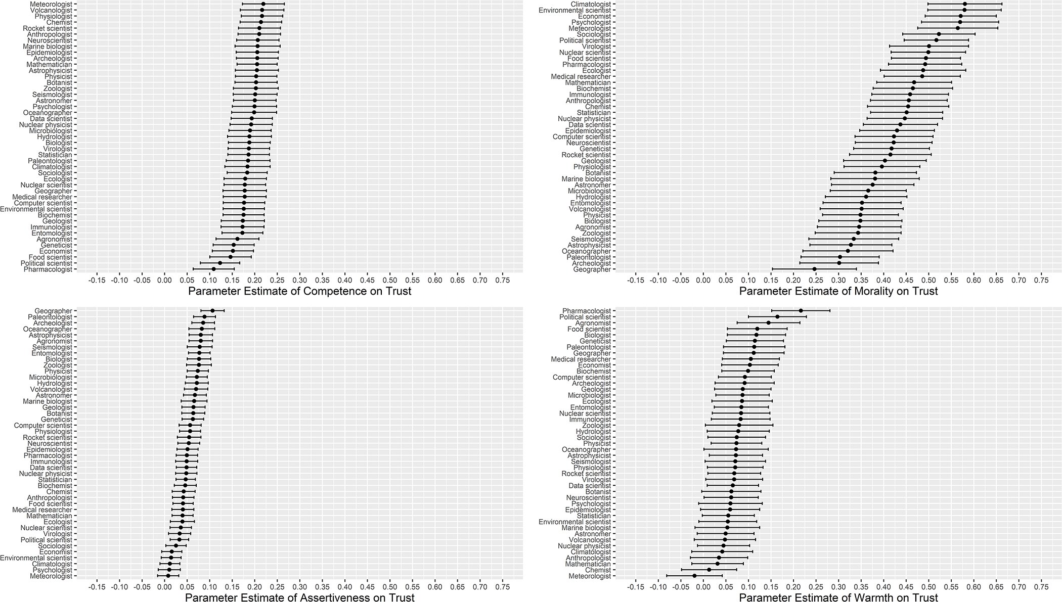
Psychologowie społeczni z Amsterdamu przebadali 2780 uczestników ze Stanów Zjednoczonych, sprawdzając, jak postrzegają oni uczonych różnych specjalizacji. Badani dzielili się tym, jak oceniają uczonych danej specjalizacji pod względem: kompetencji, asertywnego podejścia do nauki, moralności i ciepłego wizerunku.
I tak pod względem kompetencji najgorzej wypadli farmakolodzy (pamiętajmy, że badanie prowadzone było na mieszkańcach USA) i politolodzy, zaś najwyższe noty osiągali meteorolodzy, wulkanolodzy i fizjolodzy.
Najmniejszą pewnością siebie i swoich mieliby charakteryzować się meteorolodzy i psychologowie, a największą geografowie, którzy zdystansowali sporo nawet będących za nimi paleontologów i archeologów.
Co dziwne geografowie, archeolodzy i paleontolodzy mieliby też cechować się najniższym wskaźnikiem moralności w swoich badaniach. Najwyższe noty pod tym względem zebrali klimatolodzy i naukowcy zajlujący się środowiskiem.
We wskażnikach opisujących ciepły wizerunek powracają uznawani za mało kompetentnych farmakolodzy i politolodzy, których tutaj uznano za najbardziej sympatycznych. Z kolei słaby wynik pod tym względem należy do meteorologów, chemików i matematyków.
Wpływ naukowców
Inny etap badania polegał na postawieniu respondentów przed złożonym problemem i ocenienia w jakiej mierze oddaliby decyzję odnośnie rozwiązania go innej stronie. Wśród możliwości wyboru byli na przykład inni obywatele albo przyjaciele danej osoby, zawsze jednak jedną ze stron stanowili naukowcy jakiejś specjalizacji.
Zastosowano 7- punktową skalę, w której wynik 7 oznaczał najwyższe zaufanie do danej strony, że rozwiąże ona problem, zaś 1 kompletny brak wiary, że sobie z nim poradzi. Po podsumowaniu wyników okazało się, że najniższe noty na poziomie 3,71 i 4,28 otzrymywali politolodzy i ekonomiści, z kolei najyższe zaufanie na poziomie 5,53 i 5, 54 okazywano neurobiologom i biologom morskim.
Oprac.: MT

























































