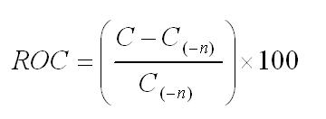
Wskaźnik Zmian - Rate of Change (ROC)
Jest zmodyfikowanym w stosunku do momentum wskaźnikiem impetu mierzącym wielkość zmiany ceny w danym okresie. Osiągnięcie przez wskaźnik minimum, a następnie rozpoczęcie wzrostu stanowi sygnał kupna. Z kolei osiągnięcie szczytu i rozpoczęcie spadku wskaźnika to sygnał sprzedaży.Również istotne dla wyniku analizy jest poszukiwanie dywergencji. Tu również można kreślić linie trendu. Cennych informacji może dostarczyć znalezienie formacji na wykresie wskaźnika. Wskaźnik ten pozwala na wyznaczanie poziomów wykupienia lub wyprzedania rynku. ROC posiada analogiczny przebieg, jak momentum, przy czym różni się innym sposobem określania wartości.
gdzie:
C – ostatnia cena zamknięcia instrumentu finansowego
C(-n) – cena zamknięcia instrumentu finansowego sprzed „n” sesji
Zbieżność / Rozbieżność Średnich Ruchomych
Należy do najpopularniejszych wskaźników, chętnie wykorzystywanych przez analityków, jak również w automatycznych systemach transakcyjnych . W jego konstrukcji wykorzystano różnicę dwóch wykładniczych średnich ruchomych , każda o innym okresie. Zazwyczaj ustala się okresy 26- i 12-dniowe.Trzecia linia na wykresie stanowi linię sygnalną i jest obliczana, jako wykładnicza średnia ruchoma wskaźnika MACD. Najczęściej oblicza się ją dla okresu 9 dni. Sygnały kupna bądź sprzedaży są generowane, gdy linia MACD przebija linię sygnalną. Przebicie linii sygnalnej od dołu daje sygnał kupna, natomiast od góry - sygnał sprzedaży. Jednocześnie należy szukać potwierdzenia tych sygnałów w przełamaniu poziomu równowagi. Istotnych informacji może dostarczyć znalezienie dywergencji. Dla opisanych tu parametrów wartość wskaźnika i linii sygnalnej opisują wzory:
MACD = EMA (C; 12) – EMA (C;26)
Linia sygnalna = EMA (MACD; 9)
gdzie:
EMA (C; 12) – wartość 12-dniowej średniej wykładniczej
EMA (C;26) – wartość 26-dniowej średniej wykładniczej
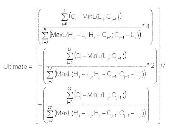
Oscylator Ultimate - Ultimate Oscillator
Jest to popularny oscylator, który osiąga wartości z przedziału 0 - 100. Stanowi on ważoną sumę trzech oscylatorów o różnych przedziałach czasowych. Główne sygnały pojawiają się w momencie powstania dywergencji. Sygnał kupna ma miejsce, gdy występują pozytywne dywergencje poniżej poziomu wskaźnika 30.Sygnałem sprzedaży są negatywne dywergencje na poziomie powyżej 70. Należy jednak każdorazowo sprawdzać, czy sygnały te są potwierdzone przebiciem najwyższego punktu w momencie tworzenia dywergencji dla sygnału kupna oraz najniższego punktu dla sygnału sprzedaży. Wartość wskaźnika liczona dla przedziałów czasowych 6, 13 i 27 dni przedstawia poniższy wzór:
gdzie:
H – najwyższa cena instrumentu finansowego
L - najniższa cena instrumentu finansowego
C – ostatnia cena zamknięcia instrumentu finansowego
Oscylator Stochastyczny - Stochastic
Oscylator stochastyczny służy określeniu relacji pomiędzy ostatnią ceną zamknięcia oraz zakresem zmian cen z danego okresu. Istnieją dwie linie oscylatora:- %K – obejmująca okres 5-dniowy
- %D – obejmująca okres 3-dniowy
Linię oscylatora 5-dniowego określa wzór:
gdzie:
C – ostatnia cena zamknięcia notowań instrumentu finansowego
L5 – najniższa cena z ostatnich pięciu dni
H5 – najwyższa cena z ostatnich pięciu dni
Linię oscylatora 3-dniowego określa wzór:
gdzie:
H3 – 3-dniowa suma wartości różnic C-L5
L3 – 3-dniowa suma wartości różnic H5-L5
Wzory te pozwalają na wykreślenie dwóch linii, które oscylują w przedziale 0-100. Wartości wskaźników powyżej 70 świadczą, że ceny zamknięcia znajdują się blisko górnego przedziału wahań i rynek jest wykupiony. Z kolei niskie wartości, tj. poniżej 30 oznaczają, że ceny znajdują się w pobliżu dolnej granicy zakresu wahań – rynek jest wyprzedany.
Najpewniejsze sygnały kupna powstają, gdy wartość wskaźnika %D wynosi 10-15, natomiast sprzedaży – gdy osiąga poziom 85-90. Przecięcia tych linii stanowią sygnały kupna lub sprzedaży. Sygnał kupna lub sprzedaży powstaje, kiedy linia %K przecina linię %D po zmianie jej kierunku, tzn. po prawej stronie szczytu lub dołka na linii %D. Cennych informacji dostarcza analiza dywergencji pomiędzy oscylatorami oraz wykresem cenowym.
Wskaźnik Siły Względnej
Jest to jeden z najpopularniejszych oscylatorów. Jak mogłaby sugerować jego nazwa, nie mierzy on jednak siły względnej. Wartości wskaźnika zawierają się w przedziale 0-100. Jeżeli wartość RSI znajduje się poniżej 30 świadczy to o wyprzedaniu rynku, natomiast powyżej 70 – o wykupieniu rynku. Cennych informacji dostarcza poszukiwanie dywergencji, tj. rozbieżności pomiędzy kierunkiem zmian cen oraz oscylatora. Może to stanowić istotny sygnał zmiany trendu.Kiedy na rynku panuje silny trend wzrostowy lub spadkowy, wartości wskaźnika RSI bardzo szybko osiągają wartości skrajne wynoszące 100 lub 0. Wówczas wyciąganie wniosków, że rynek jest wykupiony lub wyprzedany jest przedwczesne i może prowadzić do błędnych decyzji. Analiza dywergencji pomiędzy wykresem cenowym oraz RSI dostarcza dodatkowych informacji o możliwych ruchach cen.
Wartość wskaźnika RSI określa wzór:
gdzie:
Williams %R
Jest to oscylator służący do określenia poziomu wykupienia lub wyprzedania rynku. Aby osiągnąć wiarygodne wyniki wskazane jest, aby po osiągnięciu stanu wykupienia lub wyprzedania poczekać na zmianę kierunku ruchu wskaźnika. Wartości wskaźnika oblicza się odejmując od najwyższej ceny z ustalonego okresu ostatnią cenę zamknięcia.Otrzymana różnica jest dzielona przez zakres wahań cen z tego okresu, który najczęściej przyjmuje się jako 5, 10 lub 20 dni. Istotnych informacji dostarczają tu dywergencje pomiędzy wykresem cenowym oraz wskaźnikiem. Wartość wskaźnika określa wzór:
gdzie:
MAX(H,n) – najwyższa cena instrumentu finansowego
MIN(L,n) – najniższa cena instrumentu finansowego
C – ostatnia cena zamknięcia instrumentu finansowego
Równowaga Wolumenu - On Balance Volume (OBV)
W konstrukcji tego wskaźnika uwzględnia się zarówno zmiany kursów, jak również wolumenu obrotów. Zakłada się przy tym, że podczas wzrostu cen występuje również wzrost akumulacji, natomiast sesjom spadkowym towarzyszy wzrost dystrybucji. Spadek wolumenu obrotów podczas wzrostu świadczy często o wyczerpywaniu potencjału wzrostowego. Analogiczna sytuacja ma miejsce podczas spadków cen.Wskaźnik ten jest obliczany w ten sposób, że w przypadku wzrostu cen wolumen jest dodawany, natomiast przy spadkach wolumen jest odejmowany od poprzedniej jego skumulowanej wartości. Zmiana kierunku ruchu wskaźnika OBV wyprzedza ruch ceny. Tu również należy dodatkowo analizować przebieg linii trendu oraz dywergencje. Wzór na wartość wskaźnika OBV ma następującą postać:
Jeżeli Cn > Cn-1 to OBVn = OBVn-1 + V
Jeżeli Cn < Cn-1 to OBVn = OBVn-1 - V
Jeżeli Cn = Cn-1 to OBVn = OBVn-1
gdzie:
Cn – cena instrumentu finansowego w dniu obliczania wartości wskaźnika
Cn-1 – cena instrumentu finansowego w dniu poprzedzającym dzień obliczania wskaźnika
OBVn – obliczana wartość wskaźnika OBV
OBVn-1 – wartość wskaźnika OBV z dnia poprzedającego dzień obliczania wskaźnika
V – wolumen obrotu w dniu obliczania wskaźnika OBV
Akumulacja / Dystrybucja - Accumulation / Distribution (AD)
Wskaźnik ten stanowi zmodyfikowaną wersję OBV. Dostarcza on informacji o korelacji zmian cen oraz akumulacji bądź dystrybucji. Przy konstrukcji wskaźnika zakłada się, że każda zmiana cen jest wzmacniana zmianą obrotów. Wzrostowi kursu towarzyszy wzrost obrotów, co oznacza wzrost wskaźnika – wówczas jest zwiększona akumulacja.Z odwrotną sytuacją mamy do czynienia w przypadku spadku notowań. O zwiększonej dystrybucji świadczy wzrost obrotów przy zniżce, czemu towarzyszy spadek wskaźnika. W analizie należy więc uwzględniać kierunek ruchu wskaźnika oraz dywergencje. Wskaźnik AD jest obliczany w oparciu o dane za wybrany okres na podstawie następującego wzoru:
gdzie:
C – aktualna cena zamknięcia notowań istrumentu finansowego za dany okres
L – najniższa cena notowań istrumentu finansowego za dany okres
H - najwyższa cena notowań istrumentu finansowego za dany okres
V – wolumen obrotów za dany okres
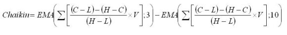
Chaikin Oscillator - Oscylator Chaikin'a
Wskaźnik ten jest obliczany, jako różnica ruchomych średnich wykładniczych ze wskaźników Akumulacji / Dystrybucji. W trendzie wzrostowym wzrost wskaźnika potwierdza siłę zwyżki. Jednocześnie spadkek jego wartości świadzy o zmniejszaniu się akumulacji.Jeżeli wskaźnik spada w trendzie spadkowym, świadczy to o wzroście dystrybucji, a w przypadku wzrostu - o jej zmniejszeniu się. Istotnych informacji dostarczają dywergencje na wykresach a także przebijanie poziomów równowagi. Zaleca się obliczanie tego wskaźnika za okresy trzy oraz dziesieć dni. Stąd jego wartość opisuje wzór:
gdzie:
C – ostatnia cena zamknięcia instrumentu finansowego
L – najniższa cena istrumentu finansowego za dany okres
H - najwyższa cena istrumentu finansowego za dany okres
V – wolumen obrotów za dany okres
Jan Mazurek































































