Jeszcze 8 lat temu gotówka używana była w strefie euro w prawie 80 proc. transakcji w sklepach. W 2024 r. nadal trzyma się mocno, ale jej udział to już tylko 52 proc. Europejski Bank Centralny przyjrzał się zwyczajom płatniczym w obszarze wspólnej waluty.


Symboliczny moment w zmierzchu fizycznego pieniądza jeszcze nie nadszedł, ale zbliża się wielkimi krokami. Gotówka pozostaje nadal najczęściej używaną formą płatności w fizycznych punktach handlowych. Taki wniosek przynosi najnowszy raport z badań przeprowadzonych na zlecenie Europejskiego Banku Centralnego w krajach strefy euro.
Badanie SPACE opiera się skoordynowanym sondażu obejmującym 18 krajów. Niemal 41 tys. respondentów miało za zadanie m.in. odnotować swoje codzienne transakcje i odpowiedzieć na serię pytań. Sprawdzano zarówno obyczaje dotyczące płatności w sklepach, jak i w sieci oraz w rozliczeniach pomiędzy osobami fizycznymi (P2P).
Finowie i Holendrzy najrzadziej sięgają po banknoty
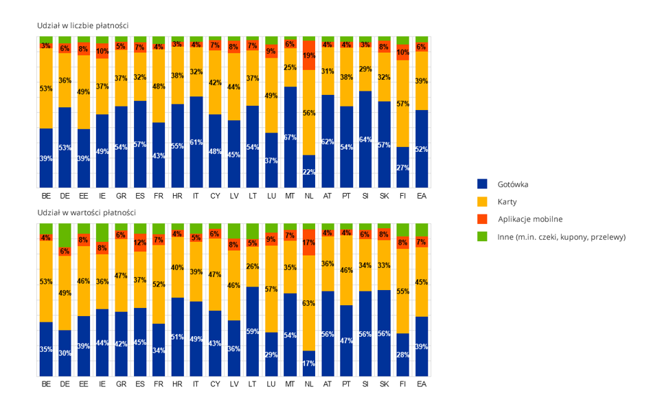
Już w poprzedniej edycji badania, w 2022 r., pod względem wartości transakcji w sklepach karty płatnicze przegoniły gotówkę. W 2024 r. przewaga plastików w strefie euro jeszcze się powiększyła – 45 proc. transakcji wartościowo w fizycznych punktach rozliczono za pomocą kart płatniczych. Za 39 proc. wartości odpowiadała gotówka.
Pod względem liczby transakcji przewagę ma nadal banknot i bilon. 52 proc. płatności odbywa się z pomocą gotówki, a 39 proc. za pomocą kart. EBC zwraca uwagę na rosnący udział płatności mobilnych. Od 2022 r. uległ on podwojeniu (z 3 do 6 proc.).
W wynikach z podziałem na kraje widać ślady często przywoływanego stereotypu – południe woli gotówkę, północ płaci bezgotówkowo. Najwyższy udział w liczbie transakcji w sklepach gotówka ma na Malcie (67 proc.). Na dalszych pozycjach znalazły się Słowenia (64 proc.), Austria (62 proc.) oraz Włochy (61 proc.).
Najbardziej bezgotówkowym krajem strefy euro jest Holandia, gdzie papierowy pieniądz używany jest w 22 proc. codziennych transakcji w sklepach. Kolejne miejsca przypadły Finlandii (27 proc.) oraz Luksemburgowi (37 proc.).
Udział płatności gotówkowych w POS (punktach handlowych) obniżył się we wszystkich krajach strefy euro pomiędzy 2022 a 2024 r. Wyjątek stanowią Finlandia i Holandia, gdzie odnotowano wzrost roli banknotów o odpowiednio 8 pp. i 1 pp. Najmniej „gotówkowe” kraje stały się zatem, wbrew ogólnym trendom, nieco bardziej przychylne papierowemu pieniądzowi.
Młodzi bardziej bezgotówkowi
EBC przyjrzał się zwyczajom płatniczym Europejczyków także w rozbiciu na zmienne demograficzne i ekonomiczne. Zaobserwowane różnice nie są zaskakujące. Najchętniej z gotówki w fizycznych punktach handlowych korzystają osoby po 65. roku życia (57 proc.), a najrzadziej najmłodsze (18-24, 45 proc.).
Skłonność do płacenia gotówką spada wraz z wykształceniem (podstawowe – 56 proc. transakcji, wyższe – 46 proc.) oraz dochodem (44 proc. dla respondentów z dochodem pow. 5 tys. euro miesięcznie, 56 proc. dla najniższych dochodów, do 1 tys. euro).
W przypadku płatności pomiędzy osobami fizycznymi (P2P) gotówka nadal ma ilościową przewagę nad innymi formami rozliczeń. Wykorzystywana jest w 41 proc. transakcji, ale odpowiada tylko za 24 proc. wartości operacji P2P.
W tym obszarze specyficznymi zwyczajami zdecydowanie wyróżniają się Niemcy. Aż 74 drobnych rozliczeń wśród naszych zachodnich sąsiadów odbywa się za pomocą gotówki. Średnia dla strefy euro wynosi 41 proc. i w żadnym z badanych krajów odsetek gotówkowych transakcji P2P nawet nie zbliża się do 50 proc.


























































