Grupy wskaźników
Wskaźniki analizy fundamentalnej obliczane są na podstawie sprawozdań finansowych spółki obejmujących: bilans, rachunek zysków i strat oraz rachunek przepływów pieniężnych. Analiza wskaźnikowa opiera się o wartości historyczne i otrzymane wyniki nie muszą mieć odniesienia do przyszłości.Istnieje pięć grup wskaźników:
- płynności – pokazują zdolność spółki do wywiązywania się z zobowiązań krótkoterminowych,
- aktywności – pokazują, jak szybko spółka zamienia swoje zapasy i należności na gotówkę,
- zadłużenia - informują o poziomie zadłużenia spółki i jej zdolności do obsługi tego zadłużenia,
- rentowności (zyskowności) - informują o wielkości zysku, jaki spółka osiągnęła w odniesieniu do zaangażowanych kapitałów czy majątku,
- wartości rynkowej - służą ocenie wartości rynkowej spółki, która zależy od cen jej akcji.
W analizie fundamentalnej funkcjonuje kilkaset wskaźników. Każdy analityk może tworzyć własne, w zależności od potrzeb. Stąd ich interpretacja może być trudna. W praktyce rzetelny obraz spółki można uzyskać już przy 20 wskaźnikach. Na podstawie wskaźników za różne okresy dokonuje się analizy trendu oraz porównań z innymi spółkami, prowadzącymi działalność w tym samym sektorze.
Wskaźniki finansowe są użytecznym narzędziem w podejmowaniu decyzji inwestycyjnych, gdyż na ich podstawie można dokonać diagnozy sytuacji spółki oraz ocenić perspektywy rozwoju. Stanowią one też podstawę do wyceny akcji. Niniejsze opracowanie zawiera zestaw najważniejszych wskaźników, stosowanych przez analityków.
Wskaźniki płynności
Wskaźnik bieżącej płynności (Current Ratio)Stanowi relację majątku obrotowego do zobowiązań krótkoterminowych.
Opóźnienia w regulowaniu faktur powodują utratę zaufania dostawców. Wskaźnik powyżej 2,0 świadczy o nadpłynności finansowej. Przyczyną może być niewłaściwy obrót zapasami lub nieściągnięte należności handlowe lub trudność w zbycie posiadanych krótkoterminowych papierów wartościowych. Podany wyżej przedział zależy od specyfiki działalności spółki.
Wskaźnik płynności szybki (Quick Ratio)
Stanowi relację majątku obrotowego do zobowiązań krótkoterminowych.
Pokazuje zdolność spółki do regulowania bieżących zobowiązań handlowych i innych krótkoterminowych aktywami o wysokiej płynności. Są nimi majątek obrotowy pomniejszony o zapasy oraz rozliczenia międzyokresowe czynne. Optymalny poziom tego wskaźnika wynosi od 1,0 do 1,2. Jego spadek poniżej 1,0 świadczy o zagrożeniu możliwości terminowego regulowania zobowiązań.
Wskaźnik płynności gotówkowej
Stanowi relację aktywów o najwyższej płynności do zobowiązań krótkoterminowych.
Pokazuje zdolność spółki do regulowania bieżących zobowiązań handlowych i innych krótkoterminowych dostępną gotówką oraz innymi aktywami finansowymi, które można zbyć w krótkim czasie. Jego optymalna wartość wynosi 0,2 - 0,3.
Kapitał obrotowy (pracujący)
Stanowi część majątku obrotowego, która może być zaangażowana w bieżącą działalność spółki.
Kapitał obrotowy = majątek obrotowy - zobowiązania krótkoterminowe
Dodatnia wartość kapitału obrotowego dowodzi, że w spółce występuje pełna cyrkulacja kapitału. Jego nadmiernie wysoka wartość może również świadczyć, że w magazynach zalegają nadmierne zapasy, w księgach figurują trudno ściągalne należności lub na koncie bankowym znajdują się nie zainwestowane duże środki pieniężne.
Wskaźniki aktywności (efektywności)
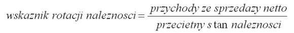
Wskaźnik rotacji należnościStanowi relację przychodów ze sprzedaży netto do przeciętnego stanu należności.
Informuje, ile razy w ciągu roku spółka odtwarza stan swoich należności. Standardy światowe określają poziom tego wskaźnika na poziomie od 7 do 10. Niższy poziom świadczy o tym, że klienci spółki są przez nią zbyt długo kredytowani. Zamrożenie znacznych środków pieniężnych w należnościach może doprowadzić do trudności w ich odzyskaniu.
Wskaźnik rotacji należności w dniach
Stanowi on iloraz liczby 360 dni i wskaźnika rotacji należności.
W praktyce oznacza on ile średnio dni spółka oczekuje na otrzymanie należności. Biorąc pod uwagę określony wyżej wskaźnik rotacji można wnioskować, że optymalna jego wartość wynosi od 35 do 50 dni. Należność nie otrzymaną w terminie do dwóch miesięcy należy uznać za zagrożoną. Podane optymalne wskaźniki rotacji należności zależą również od specyfiki działalności spółki.
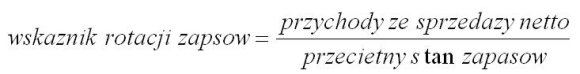
Wskaźnik rotacji zapasów
Stanowi relację przychodów ze sprzedaży netto do przeciętnego stanu zapasów w danym okresie.
Informuje ile razy w roku spółka odnawia zapasy. Niski poziom wskaźnika świadczy o utrzymywaniu nadmiernych zapasów.
Wskaźnik rotacji zapasów w dniach
Stanowi on iloraz liczby 360 dni i wskaźnika rotacji zapasów.
W praktyce mówi on, co ile średnio dni spółka odnawia zapasy. Z wysokiego poziomu wskaźnika wynika, że szybkość obrotu zapasami jest mała, z niskiego że duża.Optymalna wielkość tego wskaźnika wynika ze specyfiki działalności spółki. Inna wartość będzie właściwa dla np. spółki handlowej, inna dla deweloperskiej.
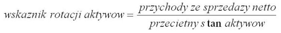
Wskaźnik rotacji aktywów (Total Asset Turnover, „TAT”)
Stanowi relację przychodów ze sprzedaży netto do przeciętnego stanu aktywów w danym okresie.
Wskaźnik ten w ujęciu liczbowym informuje o kwocie sprzedaży uzyskanej z każdej złotówki aktywów. Stanowi on miarę efektywności wykorzystania wszystkich składników majątkowych spółki. Pomocny przy analizie porównawczej aktywności gospodarczej spółek funkcjonujących w tym samym sektorze.
Wskaźniki zadłużenia
Wskaźnik ogólnego zadłużeniaStanowi relację sumy wszystkich zobowiązań spółki do aktywów ogółem.
Wynika z niego udział zadłużenia w całości źródeł finansowania aktywów spółki. Wskaźnik ten powinien zawierać się w przedziale 0,57 - 0,67. Wraz ze wzrostem zadłużenia wzrasta ryzyko finansowe. Należy zaznaczyć, że w niektórych branżach wskaźnik ten kształtuje się na innym poziomie, np. w bankach czy firmach leasingowych.
Wskaźnik zadłużenia kapitału własnego M
Stanowi relację zadłużenia całkowitego do sumy kapitałów własnych spółki.
Informuje o poziomie zaangażowania kapitału obcego w stosunku do kapitału własnego. Im wyższy jest ten wskaźnik, tym większy udział obcego kapitału w finansowaniu spółki. Zadłużenie jest tańszym źródłem finansowania, niż kapitał własny, co pozwala obniżyć średni koszt kapitału spółki, wymaga jednak odpowiedniego planowania finansowego, tak aby spółka mogła na bieżąco regulować swoje płatności. Niższy koszt kapitału obcego wynika m.in. z wykorzystania efektu dźwigni finansowej. W efekcie wzrasta rentowność kapitału własnego.
Wskaźnik zadłużenia długoterminowego
Stanowi relację zadłużenia długoterminowego do sumy kapitałów własnych spółki.
Zadłużenie długoterminowe to takie, którego termin wymagalności na dzień sporządzenia sprawozdania wynosi co najmniej jeden rok. Składają się na nie kredyty, pożyczki i wyemitowane obligacje. Zalecany poziom wskaźnika zadłużenia długoterminowego winien kształtować się na poziomie 0,5. Wyższy poziom tego wskaźnika, świadczy o poważnym zadłużeniu spółki.
Wskaźniki rentowności
Wskaźnik rentowności sprzedaży netto (Return on Sales, „ROS”)Stanowi relację zysku netto do sprzedaży za dany okres. Pokazuje on udział zysku netto w wartości sprzedaży.
Poziom tego wskaźnika świadczy o efektywności sprzedaży. Jego oczekiwana wielkość zależy z rodzaju prowadzonej działalności, w szczególności od długości cyklu produkcyjnego. W związku z tym, racjonalnym działaniem jest porównywanie tego wskaźnika w ramach spółek z tej samej branży.
Wskaźnik rentowność aktywów (Return on Assets, „ROA”) Stanowi relację zysku netto do wartości aktywów, inaczej sumy bilansowej.
Pokazuje on udział zysku netto w wartości aktywów. Informuje on o efektywności wykorzystania majątku spółki. Wzrost tego wskaźnika oznacza poprawę sytuacji finansowej spółki. Zachodnie banki udzielające kredytów oczekują od firm, aby wskaźnik ten osiągał poziom 2-6%. Jednocześnie w małych firmach powinien być wyższy niż w dużych.
Stopa zwrotu z kapitału własnego (Return on Equity, „ROE”)
Stanowi relację zysku netto do wartości kapitału własnego.
Jest to jeden z najważniejszych wskaźników uwzględniany przez inwestorów giełdowych, gdyż dotyczy zainwestowanego przez nich kapitału. Obrazuje on dobrze sytuację finansową firmy. Im wyższa efektywność wykorzystania kapitału, tym wyższe dywidendy oraz szanse rozwoju spółki.
Wskaźniki wartości rynkowej
Zysk na jedną akcję (Earning per Share, „EPS”)Stanowi relację zysku netto do ilości akcji.
Jest to wskaźnik rynkowy będący przedmiotem zainteresowania inwestorów giełdowych, gdyż dotyczy posiadanych przez nich akcji. Ma on wpływ na ewentualną dywidendę oraz wartość najważniejszego wskaźnika rynkowego C/Z. Może być on obliczany przez podzielenie zysku netto za ostanie cztery kwartały przez liczbę akcji, jakie są na koniec ostatniego kwartału. Druga metoda to podzielenie zysku kwartalnego spółki przez liczbę akcji, jakie są zarejestrowane na koniec każdego kwartału. Ta metoda pozwala uwzględnić wzrost ilości akcji, jeżeli nastąpił w ciągu analizowanego okres rocznego. Analiza tego wskaźnika winna uwzględniać w szczególności dynamikę jego zmian.
Wskaźnik ceny rynkowej akcji do wartości księgowej na akcję C/WK (Price/Book Value, „P/BV”)
Stanowi relację ceny rynkowej akcji do wartości księgowej przypadającej na akcję.
Wartość księgową spółki stanowi różnica między aktywami i zobowiązaniami. Wynika z niego, jaką kwotę są skłonni zapłacić inwestorzy giełdowi za każdą złotówkę wartości księgowej spółki. Niska wartość wskaźnika świadczy o niskich zyskach i niepełnym wykorzystaniu majątku spółki. Jeżeli wskaźnik P/BV osiąga wysokie wartości może oznaczać to, że akcje są przewartościowane i wzrasta prawdopodobieństwo korekty ich kursów. Jest to jeden z najważniejszych wskaźników branych pod uwagę przy podejmowaniu decyzji inwestycyjnych na giełdzie.
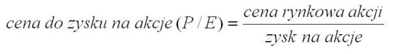
Wskaźnik ceny akcji w stosunku do bieżących zysków C/Z (Price Earning Ratio, „P/E”)
Stanowi relację ceny rynkowej akcji do zysku netto przypadającego na akcję.
Wynika z niego ile razy wartość rynkowa spółki przewyższa osiągnięty przez nią zysk netto. P/E należy do najważniejszych i najczęściej wykorzystywanych wskaźników przez inwestorów giełdowych oraz analityków. Niejednokrotnie wskaźnik P/E osiąga wysokie wartości, odbiegające od średniej rynkowej. Mówimy wówczas o przewartościowaniu akcji.
Wynikać to może z nadmiernego entuzjazmu inwestorów lub działań spekulacyjnych, ale także oczekiwań inwestorów co do poprawy zysków danej spółki. W takich chwilach wzrasta ryzyko korekty notowań giełdowych. Często wskaźnik ten osiąga wysokie wartości dla wielu spółek, co może być sygnałem końca hossy. Jeżeli wartość P/E akcji danej spółki jest niska, wówczas akcje takie są niedowartościowane i posiadają potencjał wzrostowy.
Reguła Du Ponta
Pomiędzy wskaźnikami analizy fundamentalnej zachodzą zależności matematyczne, co pozwala na interpretację przyczyn zjawisk ekonomicznych w spółce. Ujmuje je piramida Du Ponta. Poniżej zostały przytoczone trzy zależności.1) Rentowność kapitałów własnych (ROA) zależy od trzech czynników:
- wskaźnika rentowności sprzedaży netto (ROS)
- wskaźnika rotacji aktywów (TAT)
- mnożnika dźwigni finansowej (pasywa ogółem/kapitały własne, „L”)
lub
Z powyższego wypływa wniosek, że spółka może uzyskać zakładany poziom rentowności kapitałów własnych na dwa sposoby:
- przy niskiej rentowności sprzedaży realizując wysoki obrót
- przy niskich obrotach, osiągając wysoką marżę
2) Rentowność kapitałów własnych (ROE) zależy od rentowności aktywów (ROA) oraz wielkości dźwigni finansowej (L).
lub
Z tego równania wynika, że wymaganą rentowność kapitałów własnych można osiągnąć poprzez zwiększanie rentowności aktywów lub zwiększając poziom dźwigni finansowej.
3) Rentowność aktywów (ROA) zależy od rentowności sprzedaży (ROS) oraz wskaźnika rotacji aktywów (TAT).
lub
Jak widać wymaganą rentowność aktywów można osiągnąć zwiększając rentowność sprzedaży lub zwiększając obroty.
Jan Mazurek




























































